Οι Εξελίξεις στην Ελλάδα - Ειδήσεις τελευταία νέα και επικαιρότητα
Κορωνοϊός: 941 νέα κρούσματα,22 θάνατοι και 260 διασωληνωμένοι - 10 κρούσματα στην Ηλεία
- In Ελλάδα
- Τελευταία ενημέρωση : 29 Ιανουάριος 2021
Σήμερα ανακοινώνουμε 941
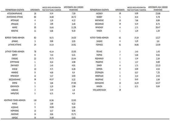
νέα κρούσματα της λοίμωξης του νέου κορωνοϊού (COVID-19), εκ των οποίων 17 εντοπίστηκαν κατόπιν ελέγχων στις πύλες εισόδου της χώρας. Ο συνολικός αριθμός των κρουσμάτων ανέρχεται στα 155678, εκ των οποίων 52.1% άνδρες. Κατά την ιχνηλάτιση βρέθηκε ότι 5927 (3.8%) θεωρούνται σχετιζόμενα με ταξίδι από το εξωτερικό και 48600 (63.9%) είναι σχετιζόμενα με ήδη γνωστό κρούσμα.
260 άτομα νοσηλεύονται διασωληνωμένοι. Η διάμεση ηλικία τους είναι 68 έτη. 193 (74.2%) εκ των διασωληνωμένων είναι άνδρες. To 85.8%, των διασωληνωμένων, έχει υποκείμενο νόσημα ή είναι ηλικιωμένοι 70 ετών και άνω.1099 ασθενείς έχουν εξέλθει από τις ΜΕΘ από την αρχή της πανδημίας.
Τέλος, έχουμε 22 νέους θανάτους από τη νόσο COVID-19, φθάνοντας τους 5764 θανάτους συνολικά στη χώρα, εκ των οποίων 3388 (58.8%) άνδρες. Η διάμεση ηλικία των θανόντων συμπολιτών μας ήταν τα 79 έτη και το 95.5% είχε κάποιο υποκείμενο νόσημα ή/και ηλικία 70 ετών και άνω.
photo pixabay








