24Απρίλιος2026

Βρίσκεστε εδώ: Πρωτοσέλιδο | Ελλάδα | Κορωνοϊός: 2.633 νέα κρούσματα, 24 στην Ηλεία,43 θάνατοι και 479 διασωληνωμένοι

Οι Εξελίξεις στην Ελλάδα - Ειδήσεις τελευταία νέα και επικαιρότητα

Κορωνοϊός: 2.633 νέα κρούσματα, 24 στην Ηλεία,43 θάνατοι και 479 διασωληνωμένοι

Τα νέα εργαστηριακά

επιβεβαιωμένα κρούσματα της νόσου που καταγράφηκαν τις τελευταίες 24 ώρες είναι 2.633, εκ των οποίων 7 εντοπίστηκαν κατόπιν ελέγχων στις πύλες εισόδου της χώρας. Ο συνολικός αριθμός των κρουσμάτων ανέρχεται σε 212.091 (ημερήσια μεταβολή +1.3%), εκ των οποίων 51.6% άνδρες.

Με βάση τα επιβεβαιωμένα κρούσματα των τελευταίων 7 ημερών, 69 θεωρούνται σχετιζόμενα με ταξίδι από το εξωτερικό και 2.312 είναι σχετιζόμενα με ήδη γνωστό κρούσμα.

Οι νέοι θάνατοι ασθενών με COVID-19 είναι 43, ενώ από την έναρξη της επιδημίας έχουν καταγραφεί συνολικά 6.886 θάνατοι. Το 95.8% είχε υποκείμενο νόσημα ή/και ηλικία 70 ετών και άνω.

Ο αριθμός των ασθενών που νοσηλεύονται διασωληνωμένοι είναι 479 (66.0% άνδρες). Η διάμεση ηλικία τους είναι 67 έτη. To 85.0% έχει υποκείμενο νόσημα ή/και ηλικία 70 ετών και άνω. Από την αρχή της πανδημίας έχουν εξέλθει από τις ΜΕΘ 1.445 ασθενείς.Οι εισαγωγές νέων ασθενών Covid-19 στα νοσοκομεία της επικράτειας είναι 443 (ημερήσια μεταβολή +13.59%). Ο μέσος όρος εισαγωγών του επταημέρου είναι 389 ασθενείς.

Hλικιακή κατανομή:Η διάμεση ηλικία των κρουσμάτων είναι 44 έτη (εύρος 0.2 έως 105 έτη), ενώ η διάμεση ηλικία των θανόντων είναι 79 έτη
(εύρος 0 έως 103 έτη).

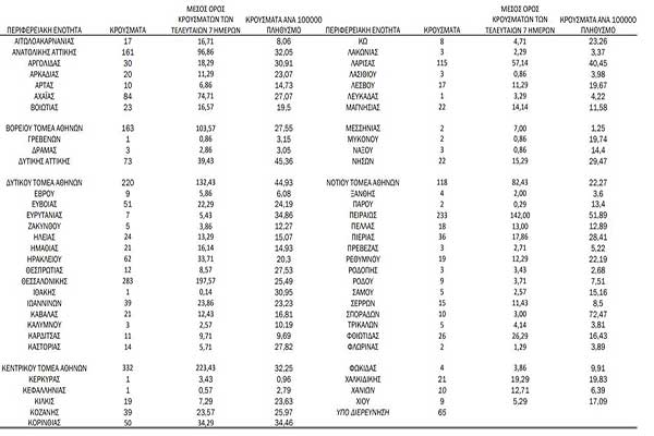
: Από το σύνολο των 2.633 νέων κρουσμάτων του νέου ιού στη χώρα 8 είναι εισαγόμενα εκ των οποίων 7 εντοπίστηκαν κατόπιν ελέγχων στις πύλες εισόδου της χώρας. Η κατανομή των 2.625 νέων εγχώριων κρουσμάτων ανά Περιφερειακή Ενότητα παρουσιάζεται στον κατωτέρω πίνακα.

Καταγραφή

photo pixabay

myILIAnews.gr

Ειδήσεις-Ενημέρωση από την Ηλεία, την Ελλάδα και όλο τον κόσμο!