Πανελλαδικές 2024 - Θέματα & Απαντήσεις
Πανελλαδικές 2020: Οι απαντήσεις στα Μαθηματικά [Προσανατολισμού]
- In Πανελλαδικές 2024
- Τελευταία ενημέρωση : 17 Ιούνιος 2020
Διαβάστε αναλυτικά τις απαντήσεις
στα Μαθηματικά [Προσανατολισμού] σε συνεργασία με το Φροντιστήριο «ΑΛΜΑ».
ΤΕΤΑΡΤΗ 17 ΙΟΥΝΙΟΥ 2020
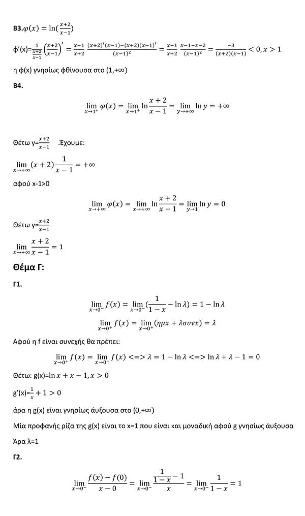
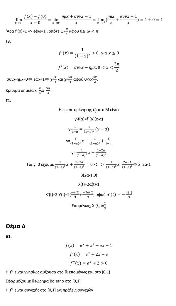
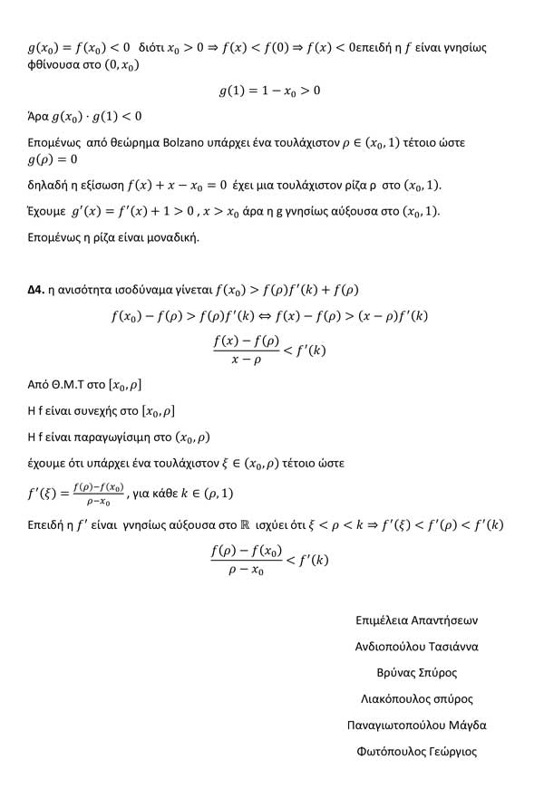
1. Πανελλαδικώς εξεταζόμενα μαθήματα των ημερησίων και εσπερινών ΓΕΛ με το νέο σύστημα.
2. Πανελλαδικώς εξεταζόμενα μαθήματα των ημερησίων και εσπερινών ΓΕΛ με το παλαιό σύστημα.






