Ειδήσεις και θέματα υγείας διατροφής και ομορφιάς. Συμβουλές για υγεία και ευεξία
Κορωνοϊός: 4.340 νέα κρούσματα - 51 στην Ηλεία, 72 θάνατοι και 741 διασωληνωμένοι
- In Υγεία
- Τελευταία ενημέρωση : 30 Μάρτιος 2021
Τα νέα εργαστηριακά επιβεβαιωμένα κρούσματα της νόσου που καταγράφηκαν τις τελευταίες 24 ώρες είναι 4.340, εκ των οποίων 21 εντοπίστηκαν κατόπιν ελέγχων στις πύλες εισόδου της χώρας. Ο συνολικός αριθμός των κρουσμάτων ανέρχεται σε 260.077 (ημερήσια μεταβολή +1.7%), εκ των οποίων 51.5% άνδρες Με βάση τα επιβεβαιωμένα κρούσματα των τελευταίων 7 ημερών, 86 θεωρούνται σχετιζόμενα με ταξίδι από το εξωτερικό και 2.267 είναι σχετιζόμενα με ήδη γνωστό κρούσμα.
Οι νέοι θάνατοι ασθενών με COVID-19 είναι 72, ενώ από την έναρξη της επιδημίας έχουν καταγραφεί συνολικά 8.017 θάνατοι. Το 95.6% είχε υποκείμενο νόσημα ή/και ηλικία 70 ετών και άνω.
Ο αριθμός των ασθενών που νοσηλεύονται διασωληνωμένοι είναι 741 (63.2% άνδρες). Η διάμεση ηλικία τους είναι 68 έτη. To 83.0% έχει υποκείμενο νόσημα ή/και ηλικία 70 ετών και άνω. Από την αρχή της πανδημίας έχουν εξέλθει από τις ΜΕΘ 1.688 ασθενείς. Οι εισαγωγές νέων ασθενών Covid-19 στα νοσοκομεία της επικράτειας είναι 402 (ημερήσια μεταβολή -11.84%). Ο μέσος όρος εισαγωγών του επταημέρου είναι 431 ασθενείς.
Η διάμεση ηλικία των κρουσμάτων είναι 44 έτη (εύρος 0.2 έως 105 έτη), ενώ η διάμεση ηλικία των θανόντων είναι 79 έτη (εύρος 0 έως
103 έτη).
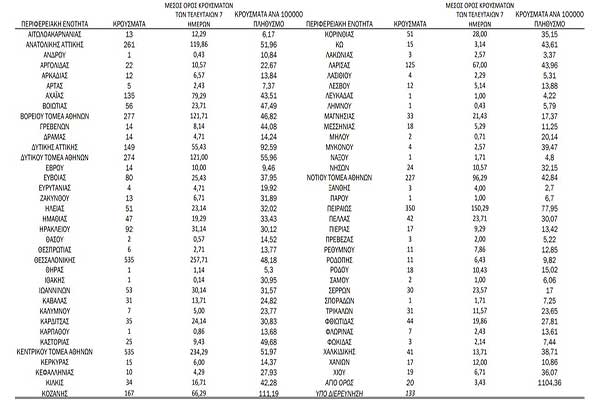
Κατανομή ανακοινωθέντων εγχώριων κρουσμάτων:
Από το σύνολο των 4.340 νέων κρουσμάτων του νέου ιού στη χώρα 23 είναι εισαγόμενα εκ των οποίων 21 εντοπίστηκαν κατόπιν ελέγχων στις πύλες εισόδου της χώρας. Η κατανομή των 4.317 νέων εγχώριων κρουσμάτων ανά Περιφερειακή Ενότητα παρουσιάζεται στον κατωτέρω πίνακα.
photo pixabay



