Ειδήσεις και θέματα υγείας διατροφής και ομορφιάς. Συμβουλές για υγεία και ευεξία
Κορωνοϊός: 2.065 νέα κρούσματα - 18 στην Ηλεία, 10 θάνατοι και 139 διασωληνωμένοι
- In Υγεία
- Τελευταία ενημέρωση : 12 Ιούλιος 2021
Τα νέα εργαστηριακά
επιβεβαιωμένα κρούσματα της νόσου που καταγράφηκαν τις τελευταίες 24 ώρες είναι 2.065 , εκ των οποίων 12 εντοπίστηκαν κατόπιν ελέγχων στις πύλες εισόδου της χώρας. Ο συνολικός αριθμός των κρουσμάτων ανέρχεται σε 440.872 (ημερήσια μεταβολή +0.5%), εκ των οποίων 51.2% άνδρες.
Με βάση τα επιβεβαιωμένα κρούσματα των τελευταίων 7 ημερών, 156 θεωρούνται σχετιζόμενα με ταξίδι από το εξωτερικό και 1.874 είναι σχετιζόμενα με ήδη γνωστό κρούσμα.
Οι νέοι θάνατοι ασθενών με COVID-19 είναι 10, ενώ από την έναρξη της επιδημίας έχουν καταγραφεί συνολικά 12.802 θάνατοι. Το 95.2% είχε υποκείμενο νόσημα ή/και ηλικία 70 ετών και άνω.
Ο αριθμός των ασθενών που νοσηλεύονται διασωληνωμένοι είναι 139 (66.9% άνδρες). Η διάμεση ηλικία τους είναι 66 έτη. To 85.6% έχει υποκείμενο νόσημα ή/και ηλικία 70 ετών και άνω. Από την αρχή της πανδημίας έχουν εξέλθει από τις ΜΕΘ 2.736 ασθενείς. Οι εισαγωγές2 νέων ασθενών Covid-19 στα νοσοκομεία της επικράτειας είναι 85 (ημερήσια μεταβολή +30.77%). Ο μέσος όρος εισαγωγών του επταημέρου είναι 65 ασθενείς.Η διάμεση ηλικία των κρουσμάτων είναι 42 έτη (εύρος 0.2 έως 106 έτη), ενώ η διάμεση ηλικία των θανόντων είναι 78 έτη (εύρος 0.2 έως 106 έτη).
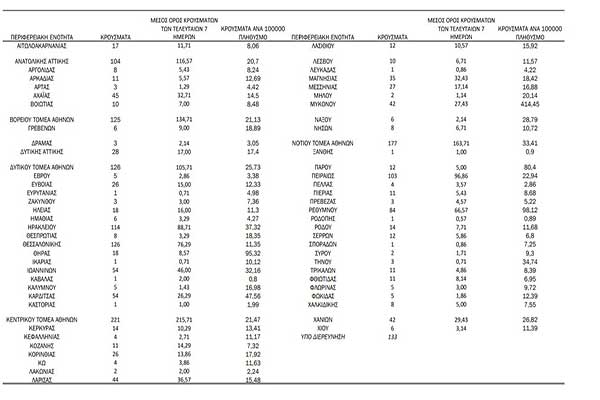
Κατανομή ανακοινωθέντων εγχώριων κρουσμάτων: Από το σύνολο των 2.065 νέων κρουσμάτων του νέου ιού στη χώρα 20 είναι εισαγόμενα εκ των οποίων 12 εντοπίστηκαν κατόπιν ελέγχων στις πύλες εισόδου της χώρας . Η κατανομή των 2.045 νέων εγχώριων κρουσμάτων ανά Περιφερειακή Ενότητα παρουσιάζεται στον κατωτέρω πίνακα.

photo pixabay



