Ειδήσεις και θέματα υγείας διατροφής και ομορφιάς. Συμβουλές για υγεία και ευεξία
Κορωνοϊός: 2.604 νέα κρούσματα - 8 στην Ηλεία, 5 θάνατοι και 126 διασωληνωμένοι
- In Υγεία
- Τελευταία ενημέρωση : 22 Ιούλιος 2021
Τα νέα εργαστηριακά επιβεβαιωμένα κρούσματα της νόσου που καταγράφηκαν τις τελευταίες 24 ώρες είναι 2.604, εκ των οποίων 11 εντοπίστηκαν κατόπιν ελέγχων στις πύλες εισόδου της χώρας. Ο συνολικός αριθμός των κρουσμάτων ανέρχεται σε 469.042 (ημερήσια μεταβολή +0.6%), εκ των οποίων 51.2% άνδρες.
1 Με βάση τα επιβεβαιωμένα κρούσματα των τελευταίων 7 ημερών, 131 θεωρούνται σχετιζόμενα με ταξίδι από το εξωτερικό και 1.325 είναι σχετιζόμενα με ήδη γνωστό κρούσμα.
Οι νέοι θάνατοι ασθενών με COVID-19 είναι 5, ενώ από την έναρξη της επιδημίας έχουν καταγραφεί συνολικά 12.875 θάνατοι. Το 95.1% είχε υποκείμενο νόσημα ή/και ηλικία 70 ετών και άνω.
Ο αριθμός των ασθενών που νοσηλεύονται διασωληνωμένοι είναι 126 (60.3% άνδρες). Η διάμεση ηλικία τους είναι 66 έτη. To 89.7% έχει υποκείμενο νόσημα ή/και ηλικία 70 ετών και άνω. Από την αρχή της πανδημίας έχουν εξέλθει από τις ΜΕΘ 2.774 ασθενείς. Οι εισαγωγές2 νέων ασθενών Covid-19 στα νοσοκομεία της επικράτειας είναι 173 (ημερήσια μεταβολή +7.45%). Ο μέσος όρος εισαγωγών του επταημέρου είναι 138 ασθενείς.
Η διάμεση ηλικία των κρουσμάτων είναι 41 έτη (εύρος 0.2 έως 106 έτη), ενώ η διάμεση ηλικία των θανόντων είναι 78 έτη (εύρος 0.2 έως 106 έτη).
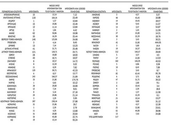
Κατανομή ανακοινωθέντων εγχώριων κρουσμάτων:
Από το σύνολο των 2.604 νέων κρουσμάτων του νέου ιού στη χώρα 23 είναι εισαγόμενα εκ των οποίων 11 εντοπίστηκαν κατόπιν ελέγχων στις πύλες εισόδου της χώρας . Η κατανομή των 2.581 νέων εγχώριων κρουσμάτων ανά Περιφερειακή Ενότητα παρουσιάζεται στον κατωτέρω πίνακα.

photo pixabay



