Ειδήσεις και θέματα υγείας διατροφής και ομορφιάς. Συμβουλές για υγεία και ευεξία
Κορωνοϊός: 5.087 νέα κρούσματα - 37 στην Ηλεία, 103 θάνατοι και 702 διασωληνωμένοι
- In Υγεία
- Τελευταία ενημέρωση : 10 Δεκέμβριος 2021
Τα νέα εργαστηριακά
επιβεβαιωμένα κρούσματα της νόσου που καταγράφηκαν τις τελευταίες 24 ώρες είναι 5.087 , εκ των οποίων 12 εντοπίστηκαν κατόπιν ελέγχων στις πύλες εισόδου της χώρας. Ο συνολικός αριθμός των κρουσμάτων ανέρχεται σε 994.901 (ημερήσια μεταβολή +0.5%), εκ των οποίων 50.5% άνδρες. Με βάση τα επιβεβαιωμένα κρούσματα των τελευταίων 7 ημερών, 95 θεωρούνται σχετιζόμενα με ταξίδι από το εξωτερικό και 2.848 είναι σχετιζόμενα με ήδη γνωστό κρούσμα.
Οι νέοι θάνατοι ασθενών με COVID-19 είναι 103, ενώ από την έναρξη της επιδημίας έχουν καταγραφεί συνολικά 19.085 θάνατοι. Το 95.3% είχε υποκείμενο νόσημα ή/και ηλικία 70 ετών και άνω
Ο αριθμός των ασθενών που νοσηλεύονται διασωληνωμένοι είναι 702 (58.8% άνδρες). Η διάμεση ηλικία τους είναι 64 έτη. To 79.9% έχει υποκείμενο νόσημα ή/και ηλικία 70 ετών και άνω. Μεταξύ των ασθενών που νοσηλεύονται διασωληνωμένοι, 566 (80.63%) είναι ανεμβολίαστοι ή μερικώς εμβολιασμένοι και 136 (19.37%) είναι πλήρως εμβολιασμένοι. Από την αρχή της πανδημίας έχουν εξέλθει από τις ΜΕΘ 3.600 ασθενείς.
Οι εισαγωγές νέων ασθενών Covid-19 στα νοσοκομεία της επικράτειας είναι 376 (ημερήσια μεταβολή -12.35%). Ο μέσος όρος εισαγωγών του επταημέρου είναι 417 ασθενείς.Η διάμεση ηλικία των κρουσμάτων είναι 38 έτη (εύρος 0.2 έως 106 έτη), ενώ η διάμεση ηλικία των θανόντων είναι 78 έτη (εύρος 0.2 έως 106 έτη).
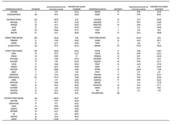
Κατανομή ανακοινωθέντων εγχώριων κρουσμάτων: Από το σύνολο των 5.087 νέων κρουσμάτων του νέου ιού στη χώρα 18 είναι εισαγόμενα εκ των οποίων 12 εντοπίστηκαν κατόπιν ελέγχων στις πύλες εισόδου της χώρας . Η κατανομή των 5.069 νέων εγχώριων κρουσμάτων ανά Περιφερειακή Ενότητα παρουσιάζεται στον κατωτέρω πίνακα.

photo pixabay



