Ειδήσεις και θέματα υγείας διατροφής και ομορφιάς. Συμβουλές για υγεία και ευεξία
Κορωνοϊός: 19.509 νέα κρούσματα - 281 στην Ηλεία, 82 θάνατοι και 485 διασωληνωμένοι
- In Υγεία
- Τελευταία ενημέρωση : 16 Φεβρουάριος 2022
Τα νέα εργαστηριακά επιβεβαιωμένα κρούσματα της νόσου που καταγράφηκαν τις τελευταίες 24 ώρες είναι 19.509, εκ των οποίων 42 εντοπίστηκαν κατόπιν ελέγχων στις πύλες εισόδου της χώρας. Ο συνολικός αριθμός των κρουσμάτων ανέρχεται σε 2.235.920 (ημερήσια μεταβολή +0.9%), εκ των οποίων 49.7% άνδρες. Με βάση τα επιβεβαιωμένα κρούσματα των τελευταίων 7 ημερών, 373 θεωρούνται σχετιζόμενα με ταξίδι από το εξωτερικό και 2.186 είναι σχετιζόμενα με ήδη γνωστό κρούσμα.
Οι νέοι θάνατοι ασθενών με COVID-19 είναι 82, ενώ από την έναρξη της επιδημίας έχουν καταγραφεί συνολικά 25.001 θάνατοι.Το 95.0% είχε υποκείμενο νόσημα ή/και ηλικία 70 ετών και άνω.
Ο αριθμός των ασθενών που νοσηλεύονται διασωληνωμένοι είναι 485 (62.7% άνδρες). Η διάμεση ηλικία τους είναι 66 έτη. To 86.0% έχει υποκείμενο νόσημα ή/και ηλικία 70 ετών και άνω. Μεταξύ των ασθενών που νοσηλεύονται διασωληνωμένοι, 364 (75.05%) είναι ανεμβολίαστοι ή μερικώς εμβολιασμένοι και 121 (24.95%) είναι πλήρως εμβολιασμένοι. Από την αρχή της πανδημίας έχουν εξέλθει από τις ΜΕΘ 4.164 ασθενείς.
Οι εισαγωγές2 νέων ασθενών Covid-19 στα νοσοκομεία της επικράτειας είναι 448 (ημερήσια μεταβολή +30.61%). Ο μέσος όρος εισαγωγών του επταημέρου είναι 394 ασθενείς.Η διάμεση ηλικία των κρουσμάτων είναι 35 έτη (εύρος 0.2 έως 106 έτη), ενώ η διάμεση ηλικία των θανόντων είναι 79 έτη (εύρος 0.2 έως 106 έτη)
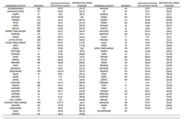
Κατανομή ανακοινωθέντων εγχώριων κρουσμάτων:
Από το σύνολο των 19.509 νέων κρουσμάτων του νέου ιού στη χώρα 42 είναι εισαγόμενα εκ των οποίων 42 εντοπίστηκαν κατόπιν ελέγχων στις πύλες εισόδου της χώρας . Η κατανομή των 19.467 νέων εγχώριων κρουσμάτων ανά Περιφερειακή Ενότητα παρουσιάζεται στον κατωτέρω πίνακα.

photo pixabay



