06Απρίλιος2026

Βρίσκεστε εδώ: Πρωτοσέλιδο | Υγεία | Κορωνοϊός: 19.504 νέα κρούσματα - 269 στην Ηλεία, 93 θάνατοι και 484 διασωληνωμένοι

Ειδήσεις και θέματα υγείας διατροφής και ομορφιάς. Συμβουλές για υγεία και ευεξία

Κορωνοϊός: 19.504 νέα κρούσματα - 269 στην Ηλεία, 93 θάνατοι και 484 διασωληνωμένοι

Τα νέα εργαστηριακά επιβεβαιωμένα κρούσματα της νόσου που καταγράφηκαν τις τελευταίες 24 ώρες είναι 19.504, εκ των οποίων 45 εντοπίστηκαν κατόπιν ελέγχων στις πύλες εισόδου της χώρας. Ο συνολικός αριθμός των κρουσμάτων ανέρχεται σε 2.255.421 (ημερήσια μεταβολή +0.9%), εκ των οποίων 49.7% άνδρες.  Με βάση τα επιβεβαιωμένα κρούσματα των τελευταίων 7 ημερών, 363 θεωρούνται σχετιζόμενα με ταξίδι από το εξωτερικό και 2.187 είναι σχετιζόμενα με ήδη γνωστό κρούσμα.

Οι νέοι θάνατοι ασθενών με COVID-19 είναι 93, ενώ από την έναρξη της επιδημίας έχουν καταγραφεί συνολικά 25.095 θάνατοι. Το 95.0% είχε υποκείμενο νόσημα ή/και ηλικία 70 ετών και άνω.

Ο αριθμός των ασθενών που νοσηλεύονται διασωληνωμένοι είναι 484 (63.0% άνδρες). Η διάμεση ηλικία τους είναι 66 έτη. To 86.0% έχει υποκείμενο νόσημα ή/και ηλικία 70 ετών και άνω. Μεταξύ των ασθενών που νοσηλεύονται διασωληνωμένοι, 359 (74.17%) είναι ανεμβολίαστοι ή μερικώς εμβολιασμένοι και 125 (25.83%) είναι πλήρως εμβολιασμένοι. Από την αρχή της πανδημίας έχουν εξέλθει από τις ΜΕΘ 4.180 ασθενείς. Οι εισαγωγές νέων ασθενών Covid-19 στα νοσοκομεία της επικράτειας είναι 375 (ημερήσια μεταβολή -16.29%). Ο μέσος όρος εισαγωγών του επταημέρου είναι 377 ασθενείς.Η διάμεση ηλικία των κρουσμάτων είναι 35 έτη (εύρος 0.2 έως 106 έτη), ενώ η διάμεση ηλικία των θανόντων είναι 79 έτη (εύρος 0.2 έως 106 έτη).

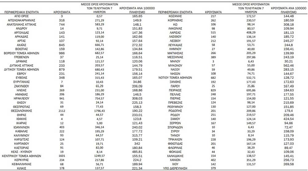
Κατανομή ανακοινωθέντων εγχώριων κρουσμάτων: Από το σύνολο των 19.504 νέων κρουσμάτων του νέου ιού στη χώρα 53 είναι εισαγόμενα εκ των οποίων 45 εντοπίστηκαν κατόπιν ελέγχων στις πύλες εισόδου της χώρας . Η κατανομή των 19.451 νέων εγχώριων κρουσμάτων ανά Περιφερειακή Ενότητα παρουσιάζεται στον κατωτέρω πίνακα.

kr

photo: pixabay

myILIAnews.gr

Ειδήσεις-Ενημέρωση από την Ηλεία, την Ελλάδα και όλο τον κόσμο!