Ειδήσεις και θέματα υγείας διατροφής και ομορφιάς. Συμβουλές για υγεία και ευεξία
Κορωνοϊός: 23.748 νέα κρούσματα - 337 στην Ηλεία, 44 θάνατοι και 354 διασωληνωμένοι
- In Υγεία
- Τελευταία ενημέρωση : 16 Μάρτιος 2022
Τα νέα εργαστηριακά επιβεβαιωμένα κρούσματα της νόσου που καταγράφηκαν τις τελευταίες 24 ώρες είναι 23.748, εκ των οποίων 23 εντοπίστηκαν κατόπιν ελέγχων στις πύλες εισόδου της χώρας. Ο συνολικός αριθμός των κρουσμάτων ανέρχεται σε 2.708.610 (ημερήσια μεταβολή +0.9%), εκ των οποίων 49.3% άνδρες. Με βάση τα επιβεβαιωμένα κρούσματα των τελευταίων 7 ημερών, 211 θεωρούνται σχετιζόμενα με ταξίδι από το εξωτερικό και 1.564 είναι σχετιζόμενα με ήδη γνωστό κρούσμα. To Rt για την επικράτεια βάσει των κρουσμάτων εκτιμάται σε 1.04 (95% ΔΕ: 0.96 - 1.12)
Οι νέοι θάνατοι ασθενών με COVID-19 είναι 44, ενώ από την έναρξη της επιδημίας έχουν καταγραφεί συνολικά 26.730 θάνατοι. Το 95.2% είχε υποκείμενο νόσημα ή/και ηλικία 70 ετών και άνω.
Ο αριθμός των ασθενών που νοσηλεύονται διασωληνωμένοι είναι 354 (65.3% άνδρες). Η διάμεση ηλικία τους είναι 69 έτη. To 90.7% έχει υποκείμενο νόσημα ή/και ηλικία 70 ετών και άνω. Μεταξύ των ασθενών που νοσηλεύονται διασωληνωμένοι, 227 (64.12%) είναι ανεμβολίαστοι ή μερικώς εμβολιασμένοι και 127 (35.88%) είναι πλήρως εμβολιασμένοι. Από την αρχή της πανδημίας έχουν εξέλθει από τις ΜΕΘ 4.373 ασθενείς. Οι εισαγωγές νέων ασθενών Covid-19 στα νοσοκομεία της επικράτειας είναι 345 (ημερήσια μεταβολή +16.55%). Ο μέσος όρος εισαγωγών του επταημέρου είναι 303 ασθενείς.Η διάμεση ηλικία των κρουσμάτων είναι 35 έτη (εύρος 0.2 έως 112 έτη), ενώ η διάμεση ηλικία των θανόντων είναι 79 έτη (εύρος 0.2 έως 106 έτη).
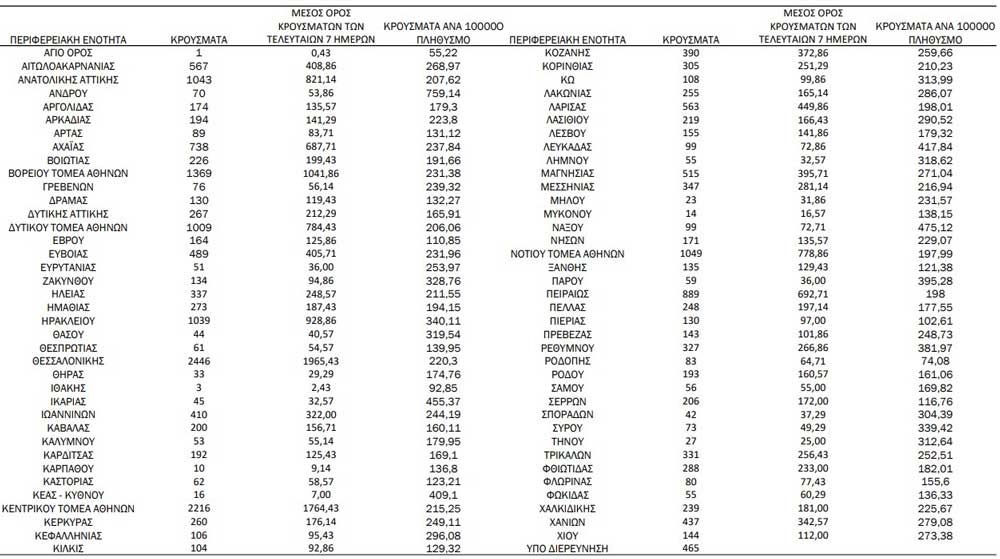
Κατανομή ανακοινωθέντων εγχώριων κρουσμάτων: Από το σύνολο των 23.748 νέων κρουσμάτων του νέου ιού στη χώρα 30 είναι εισαγόμενα εκ των οποίων 23 εντοπίστηκαν κατόπιν ελέγχων στις πύλες εισόδου της χώρας . Η κατανομή των 23.718 νέων εγχώριων κρουσμάτων ανά Περιφερειακή Ενότητα παρουσιάζεται στον κατωτέρω πίνακα.

photo: pixabay



