Ειδήσεις και θέματα υγείας διατροφής και ομορφιάς. Συμβουλές για υγεία και ευεξία
Κορωνοϊός: 12.462 νέα κρούσματα - 139 στην Ηλεία, 44 θάνατοι και 346 διασωληνωμένοι
- In Υγεία
- Τελευταία ενημέρωση : 20 Μάρτιος 2022
Τα νέα εργαστηριακά επιβεβαιωμένα κρούσματα της νόσου που καταγράφηκαν τις τελευταίες 24 ώρες είναι 12.462 , εκ των οποίων 24 εντοπίστηκαν κατόπιν ελέγχων στις πύλες εισόδου της χώρας. Ο συνολικός αριθμός των κρουσμάτων ανέρχεται σε 2.788.654 (ημερήσια μεταβολή +0.4%), εκ των οποίων 49.3% άνδρες. Με βάση τα επιβεβαιωμένα κρούσματα των τελευταίων 7 ημερών, 177 θεωρούνται σχετιζόμενα με ταξίδι από το εξωτερικό και 1.685 είναι σχετιζόμενα με ήδη γνωστό κρούσμα.
Οι νέοι θάνατοι ασθενών με COVID-19 είναι 44, ενώ από την έναρξη της επιδημίας έχουν καταγραφεί συνολικά 26.937 θάνατοι. Το 95.2% είχε υποκείμενο νόσημα ή/και ηλικία 70 ετών και άνω.
Ο αριθμός των ασθενών που νοσηλεύονται διασωληνωμένοι είναι 346 (63.0% άνδρες). Η διάμεση ηλικία τους είναι 69 έτη. To 90.8% έχει υποκείμενο νόσημα ή/και ηλικία 70 ετών και άνω. Μεταξύ των ασθενών που νοσηλεύονται διασωληνωμένοι, 218 (63.01%) είναι ανεμβολίαστοι ή μερικώς εμβολιασμένοι και 128 (36.99%) είναι πλήρως εμβολιασμένοι. Από την αρχή της πανδημίας έχουν εξέλθει από τις ΜΕΘ 4.396 ασθενείς. Οι εισαγωγές νέων ασθενών Covid-19 στα νοσοκομεία της επικράτειας είναι 346 (ημερήσια μεταβολή -6.99%). Ο μέσος όρος εισαγωγών του επταημέρου είναι 328 ασθενείς.Η διάμεση ηλικία των κρουσμάτων είναι 35 έτη (εύρος 0.2 έως 112 έτη), ενώ η διάμεση ηλικία των θανόντων είναι 79 έτη (εύρος 0.2 έως 106 έτη).
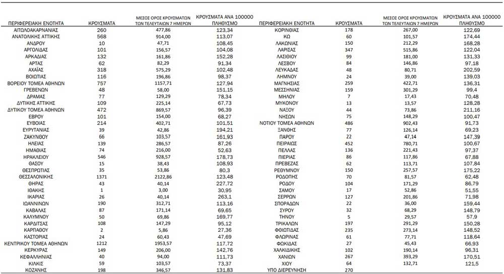
Κατανομή ανακοινωθέντων εγχώριων κρουσμάτων: Από το σύνολο των 12.462 νέων κρουσμάτων του νέου ιού στη χώρα 25 είναι εισαγόμενα εκ των οποίων 24 εντοπίστηκαν κατόπιν ελέγχων στις πύλες εισόδου της χώρας . Η κατανομή των 12.437 νέων εγχώριων κρουσμάτων ανά Περιφερειακή Ενότητα παρουσιάζεται στον κατωτέρω πίνακα.

photo pixabay



