Ειδήσεις και θέματα υγείας διατροφής και ομορφιάς. Συμβουλές για υγεία και ευεξία
Κορωνοϊός: 136.077 νέα κρούσματα την τελευταία εβδομάδα - 1.451 στην Ηλεία, 271 θάνατοι και 132 διασωληνωμένοι
- In Υγεία
- Τελευταία ενημέρωση : 26 Ιούλιος 2022
Τα στοιχεία που παρουσιάζονται αφορούν περιστατικά από την επιδημιολογική επιτήρηση της νόσου από το νέο κορωνοϊό (COVID-19). Τα δεδομένα αφορούν την εβδομάδα αναφοράς ISO 29/2022 (18 Ιουλίου 2022 - 24 Ιουλίου 2022).
Την εβδομάδα αναφοράς καταγράφηκαν 136.077 κρούσματα COVID-19 (13.044 ανά εκατoμμύριο πληθυσμού: -9% εβδομαδιαία μεταβολή) εκ των οποίων οι επαναλοιμώξεις αφορούν το 19% των λοιμώξεων. Ο συνολικός αριθμός των λοιμώξεων από την έναρξη της πανδημίας ανέρχεται σε 4.349.423 εκ των οποίων 51.7% γυναίκες.
Το σύνολο των εισαγωγών, στα νοσοκομεία της επικράτειας, την εβδομάδα αναφοράς ήταν 2.793 ασθενείς (7μερος μ.ό.: 399, 10% εβδομαδιαία μεταβολή), ενώ το σύνολο των εξιτηρίων ανέρχεται σε 2.178 ασθενείς (7μερος μ.ο.: 311, 4% εβδομαδιαία μεταβολή).3 Ο αριθμός των ασθενών που νοσηλεύονται διασωληνωμένοι μέχρι τέλος της εβδομάδας αναφοράς είναι 132 (66.7% άνδρες) με διάμεση ηλικία 67 έτη και το 91.7% να έχει υποκείμενο νόσημα ή/και ηλικία 70 ετών και άνω.
Την εβδομάδα αναφοράς καταγράφηκαν 271 θάνατοι ασθενών COVID-19 (26 ανά εκατομμύριο πληθυσμού: 26% εβδομαδιαία μεταβολή), ενώ από την έναρξη της επιδημίας έχουν καταγραφεί συνολικά 30.999 θάνατοι, με το 95.8% είχε υποκείμενο νόσημα ή/και ηλικία 70 ετών και άνω.
Η διάμεση ηλικία των κρουσμάτων είναι 38 έτη, ενώ η διάμεση ηλικία των θανόντων είναι 80 έτη.
Δείγματα που έχουν ελεγχθεί: Την εβδομάδα αναφοράς, το ποσοστό θετικότητας ήταν 15,48% σε σύνολο 878.882 εργαστηριακών ελέγχων (RT-PCR/Rapid-Ag) με το μέσο όρο επταημέρου να είναι 125.555 δείγματα (-8% εβδομαδιαία μεταβολή). Από την 1η Ιανουαρίου 2020 μέχρι 24 Ιουλίου 2022 , στα εργαστήρια που διενεργούν ελέγχους για τον SARS-CoV-2 και που δηλώνουν συστηματικά το σύνολο των δειγμάτων που ελέγχουν, έχουν συνολικά ελεγχθεί 11.980.771 (7μερος μ.ό.: 13.387, -7% εβδομαδιαία μεταβολή) κλινικά δείγματα ενώ από Μονάδες Υγείας και Κλιμάκια του ΕΟΔΥ που διενεργούν ελέγχους Rapid Ag έχουν ελεγχθεί 76.536.774 δείγματα (7μερος μ.ό.: 112.167, -8% εβδομαδιαία μεταβολή).
Mαζικές Δειγματοληψίες ΕΟΔΥ: Tην εβδομάδα αναφοράς, πραγματοποιήθηκαν 889 δράσεις δειγματοληπτικών ελέγχων από τις Κινητές Ομάδες Υγείας (ΚΟΜΥ) του ΕΟΔΥ, στις οποίες διενεργήθηκαν 111.566 έλεγχοι Rapid Ag και ανευρέθηκαν 21.648 θετικά (19%).
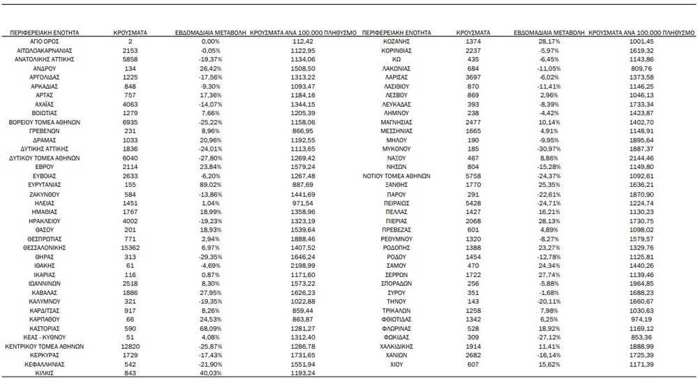
Κατανομή κρουσμάτων την εβδομάδα αναφοράς: Στο Πίνακα 1 παρουσιάζεται τo σύνολο των κρουσμάτων, η επίπτωση ανά 100.000 πληθυσμού καθώς και η εβδομαδιαία μεταβολή των επιβεβαιωμένων κρουσμάτων COVID-19 ανά περιφερειακή ενότητα την εβδομάδα αναφοράς σε σύγκριση με την προηγούμενη εβδομάδα.

photo: pixabay



