Ειδήσεις και θέματα υγείας διατροφής και ομορφιάς. Συμβουλές για υγεία και ευεξία
Κορωνοϊός: 73.710 νέα κρούσματα την τελευταία εβδομάδα - 1.460 στην Ηλεία, 258 θάνατοι και 118 διασωληνωμένοι
- In Υγεία
- Τελευταία ενημέρωση : 16 Αύγουστος 2022
Την εβδομάδα αναφοράς καταγράφηκαν 73.710 κρούσματα COVID-19 (7.065 ανά εκατoμμύριο πληθυσμού: -27% εβδομαδιαία μεταβολή) εκ των οποίων οι επαναλοιμώξεις αφορούν το 21% των λοιμώξεων. Ο συνολικός αριθμός των λοιμώξεων από την έναρξη της πανδημίας ανέρχεται σε 4.654.737 εκ των οποίων 51.9% γυναίκες. To Rt για την επικράτεια βάσει των κρουσμάτων εκτιμάται σε 0.91 (95% ΔΕ: 0.78 - 1.05)
Το σύνολο των εισαγωγών, στα νοσοκομεία της επικράτειας, την εβδομάδα αναφοράς ήταν 1.952 ασθενείς (7μερος μ.ό.: 279, -17% εβδομαδιαία μεταβολή), ενώ το σύνολο των εξιτηρίων ανέρχεται σε 2.072 ασθενείς (7μερος μ.ο.: 296, -6% εβδομαδιαία μεταβολή).3 Ο αριθμός των ασθενών που νοσηλεύονται διασωληνωμένοι μέχρι τέλος της εβδομάδας αναφοράς είναι 118 (62.7% άνδρες) με διάμεση ηλικία 69 έτη και το 94.9% να έχει υποκείμενο νόσημα ή/και ηλικία 70 ετών και άνω.
Την εβδομάδα αναφοράς καταγράφηκαν 258 θάνατοι ασθενών COVID-19 (25 ανά εκατομμύριο πληθυσμού: -27% εβδομαδιαία μεταβολή), ενώ από την έναρξη της επιδημίας έχουν καταγραφεί συνολικά 32.028 θάνατοι, με το 95.9% είχε υποκείμενο νόσημα ή/και ηλικία 70 ετών και άνω.
Η διάμεση ηλικία των κρουσμάτων είναι 38 έτη, ενώ η διάμεση ηλικία των θανόντων είναι 80 έτη.
Δείγματα που έχουν ελεγχθεί: Την εβδομάδα αναφοράς, το ποσοστό θετικότητας ήταν 12,12% σε σύνολο 607.996 εργαστηριακών ελέγχων (RT-PCR/Rapid-Ag) με το μέσο όρο επταημέρου να είναι 86.857 δείγματα (-17% εβδομαδιαία μεταβολή). Από την 1η Ιανουαρίου 2020 μέχρι 14 Αυγούστου 2022 , στα εργαστήρια που διενεργούν ελέγχους για τον SARSCoV-2 και που δηλώνουν συστηματικά το σύνολο των δειγμάτων που ελέγχουν, έχουν συνολικά ελεγχθεί 12.209.258 (7μερος μ.ό.: 9.484, -13% εβδομαδιαία μεταβολή) κλινικά δείγματα ενώ από Μονάδες Υγείας και Κλιμάκια του ΕΟΔΥ που διενεργούν ελέγχους Rapid Ag έχουν ελεγχθεί 78.447.655 δείγματα (7μερος μ.ό.: 77.372, -17% εβδομαδιαία μεταβολή).
Mαζικές Δειγματοληψίες ΕΟΔΥ: Tην εβδομάδα αναφοράς, πραγματοποιήθηκαν 811 δράσεις δειγματοληπτικών ελέγχων από τις Κινητές Ομάδες Υγείας (ΚΟΜΥ) του ΕΟΔΥ, στις οποίες διενεργήθηκαν 80.434 έλεγχοι Rapid Ag και ανευρέθηκαν 13.717 θετικά (17%).
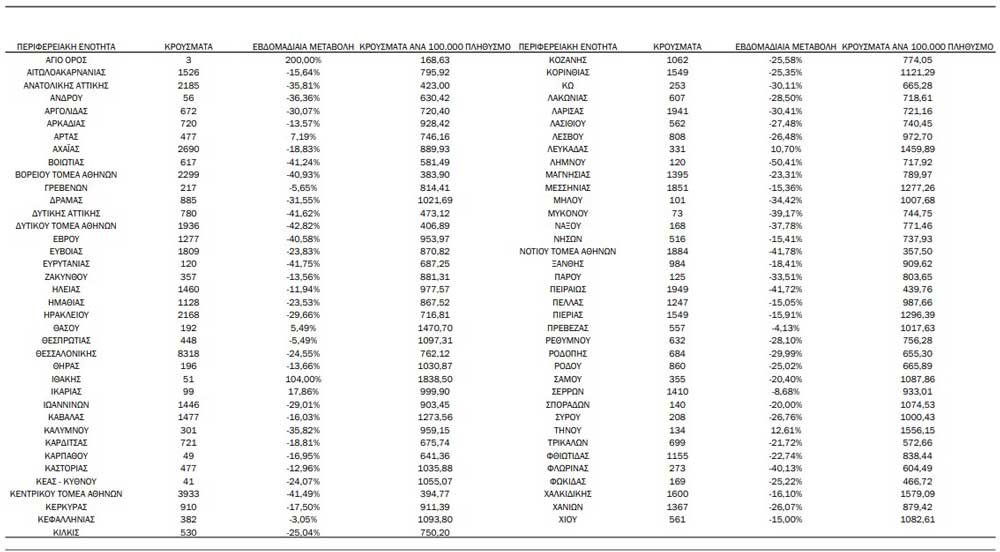
Κατανομή κρουσμάτων την εβδομάδα αναφοράς: Στο Πίνακα παρουσιάζεται τo σύνολο των κρουσμάτων, η επίπτωση ανά 100.000 πληθυσμού καθώς και η εβδομαδιαία μεταβολή των επιβεβαιωμένων κρουσμάτων COVID-19 ανά περιφερειακή ενότητα την εβδομάδα αναφοράς σε σύγκριση με την προηγούμενη εβδομάδα.

photo: pixabay



