Ειδήσεις και θέματα υγείας διατροφής και ομορφιάς. Συμβουλές για υγεία και ευεξία
Κορωνοϊός: 2.197 νέα κρούσματα - 28 στην Ηλεία, 39 θάνατοι και 375 διασωληνωμένοι
- In Υγεία
- Τελευταία ενημέρωση : 11 Σεπτέμβριος 2021
Τα νέα εργαστηριακά επιβεβαιωμένα κρούσματα της νόσου που καταγράφηκαν τις τελευταίες 24 ώρες είναι 2.197 , εκ των οποίων 15 εντοπίστηκαν κατόπιν ελέγχων στις πύλες εισόδου της χώρας. Ο συνολικός αριθμός των κρουσμάτων ανέρχεται σε 613.838 (ημερήσια μεταβολή +0.4%), εκ των οποίων 51.0% άνδρες. Με βάση τα επιβεβαιωμένα κρούσματα των τελευταίων 7 ημερών, 186 θεωρούνται σχετιζόμενα με ταξίδι από το εξωτερικό και 2.801 είναι σχετιζόμενα με ήδη γνωστό κρούσμα.
Οι νέοι θάνατοι ασθενών με COVID-19 είναι 39, ενώ από την έναρξη της επιδημίας έχουν καταγραφεί συνολικά 14.141 θάνατοι. Το 95.4% είχε υποκείμενο νόσημα ή/και ηλικία 70 ετών και άνω.
Ο αριθμός των ασθενών που νοσηλεύονται διασωληνωμένοι είναι 375 (62.1% άνδρες). Η διάμεση ηλικία τους είναι 64 έτη. To 81.6% έχει υποκείμενο νόσημα ή/και ηλικία 70 ετών και άνω. Μεταξύ των ασθενών που νοσηλεύονται διασωληνωμένοι, 337 (89.87%) είναι ανεμβολίαστοι ή μερικώς εμβολιασμένοι και 38 (10.13%) είναι πλήρως εμβολιασμένοι. Από την αρχή της πανδημίας έχουν εξέλθει από τις ΜΕΘ 3.041 ασθενείς. Οι εισαγωγές νέων ασθενών Covid-19 στα νοσοκομεία της επικράτειας είναι 229 (ημερήσια μεταβολή +26.52%). Ο μέσος όρος εισαγωγών του επταημέρου είναι 215 ασθενείς.Η διάμεση ηλικία των κρουσμάτων είναι 39 έτη (εύρος 0.2 έως 106 έτη), ενώ η διάμεση ηλικία των θανόντων είναι 78 έτη (εύρος 0.2 έως 106 έτη).
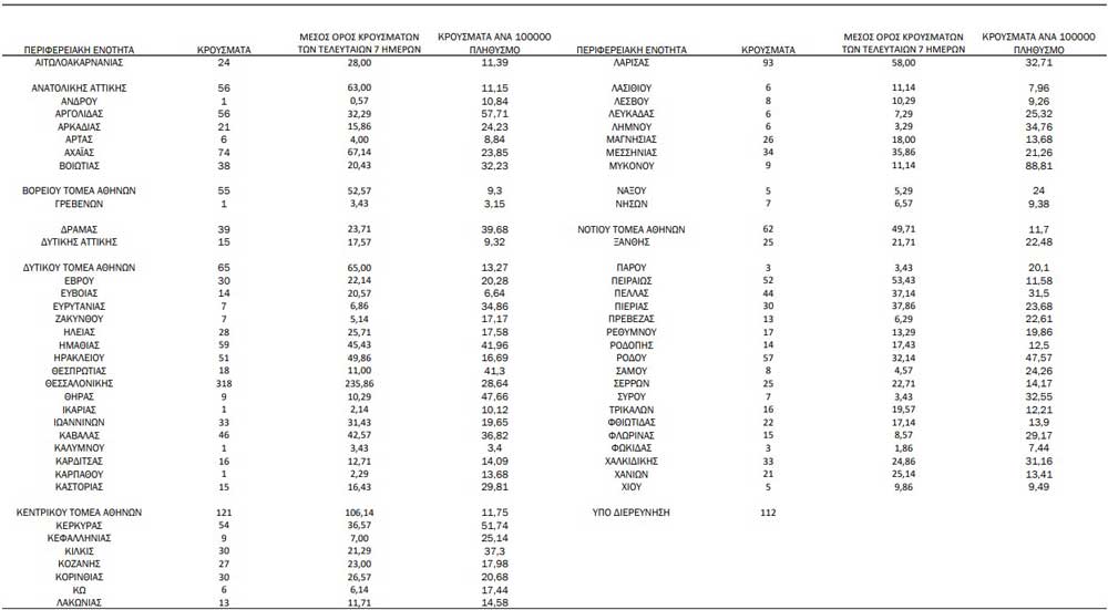
Κατανομή ανακοινωθέντων εγχώριων κρουσμάτων:
Από το σύνολο των 2.197 νέων κρουσμάτων του νέου ιού στη χώρα 18 είναι εισαγόμενα εκ των οποίων 15 εντοπίστηκαν κατόπιν ελέγχων στις πύλες εισόδου της χώρας . Η κατανομή των 2.179 νέων εγχώριων κρουσμάτων ανά Περιφερειακή Ενότητα παρουσιάζεται στον κατωτέρω πίνακα.

photo: pixabay



